土壤碳储量的评估对于理解土地利用和气候变化对土壤碳动态的影响至关重要。然而,以往研究大多集中在浅层土壤(<100 cm)的碳动态,且主要是有机碳(SOC),而对深层土壤碳库(>100 cm),特别是无机碳(SIC)的研究相对较少。学者们一般利用深层土壤碳的采样数据,尝试通过建立土壤碳的深度分布函数来估算碳储量。然而,这种方法对估算无机碳的应用非常有限,也忽略了土壤碳库与气候和土地利用等因素之间的作用关系,估算精度存在较大的不确定性。同时,干旱半干旱地区土壤碳储量受到气候的显著影响,但深剖面土壤碳库如何响应气候变化尚不明晰。
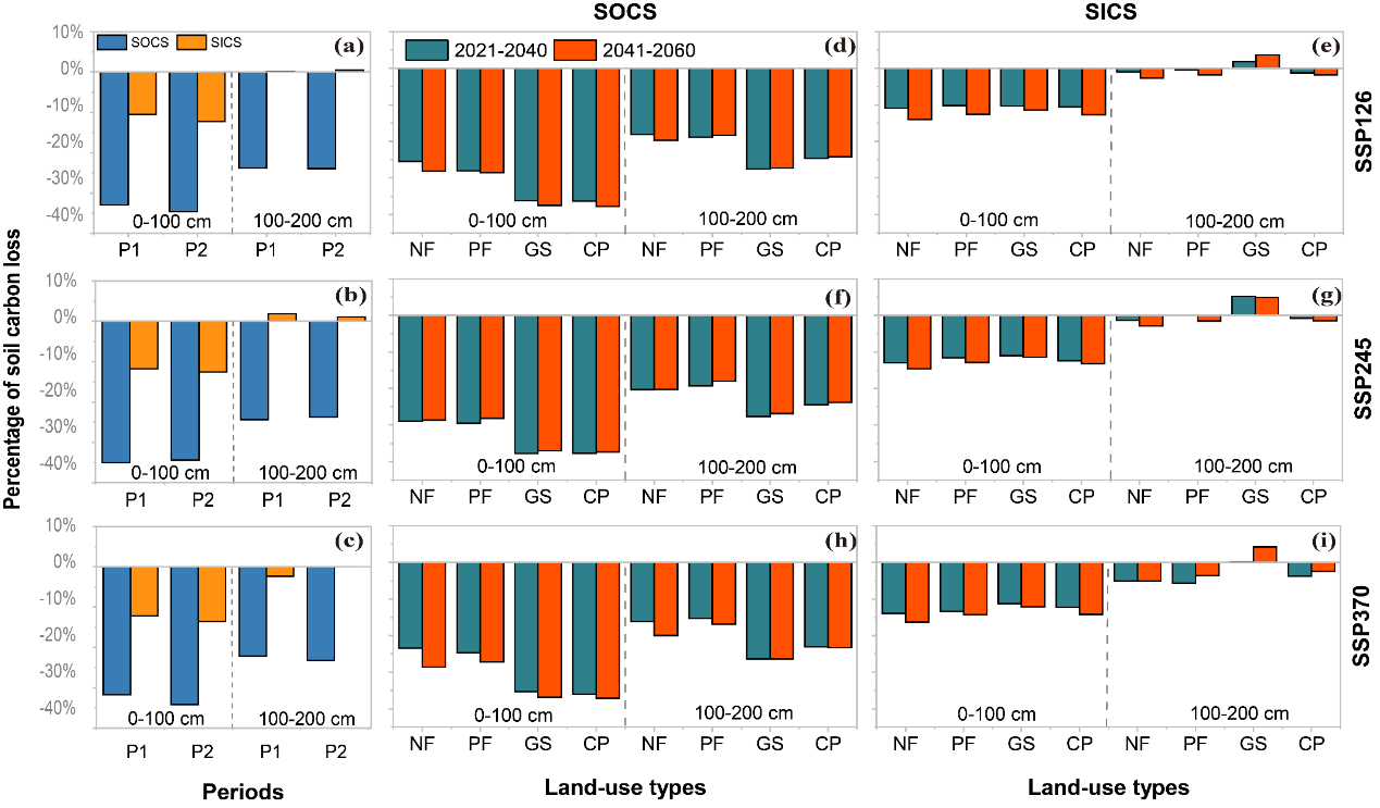
基于此,黄土高原站副站长,中国科学院生态环境研究中心高光耀研究员团队借助陕西黄土高原地球关键带国家野外科学观测研究站的观测和数据平台,通过实地采样、文献数据整合和机器学习等方法,建立了黄土高原0-200 cm深度的SOC和SIC与土壤质地、土地利用类型和气候因素之间的随机森林模型,分析了浅层(0-100 cm)和深层(100-200 cm)土壤SOC和SIC的分布及储量特征,并模拟了不同气候变化情景(SSP126、SSP245、SSP370,2021-2040和2041-2060年)土壤碳库的潜在变化。研究发现,温度和降雨分别是估算黄土高原SOC和SIC储量的最重要因子。浅层SIC密度是SOC密度的1.2倍,而在深层,前者达到后者的2.4倍。黄土高原的浅层SOC和SIC储量分别为7.5 Pg和9.3 Pg,深层SOC和SIC储量分别为3.3 Pg和8.2 Pg,表明约30.6%和46.9%的SOC和SIC储存在深层土壤中。未来气候变化将对土壤碳库产生显著负面影响,尤其是表层土壤碳库,且SOC比SIC受到的影响更大。本研究提出了一种高精度估算区域土壤碳储量的研究框架,量化了深层土壤碳库的重要性,强调了在未来气候变化情景下,亟需采取生态系统管理等策略,以保护土壤碳库。

图1 黄土高原土壤采样点空间分布与不同深度、不同土地利用类型的土壤有机碳与无机碳密度与储量特征(NF:天然林;PF:人工林;GS:草地;CP:农田)

图2 不同土地利用类型在未来三种气候变化情景(SSP126、SSP245、SSP370)下土壤有机碳与无机碳储量相对于2020年的变化(P1:2021–2040,P2:2041–2060)
上述研究成果发表于著名综合性期刊Science Bulletin。中国科学院生态环境研究中心高光耀研究员为论文第一作者,傅伯杰院士为论文通讯作者。本研究得到国家自然科学基金项目(41991230,U2243231,42201099)的共同资助。
论文链接:
Guangyao Gao,Binbin Li,Karl J. Niklas,Yuanyuan Huang,Mingxiang Xu,Guobin Liu,Bojie Fu. Deep soil carbon pool responses to climate change in the Chinese Loess Plateau. Science Bulletin,2025,70(4),504-507.
https://www.sciencedirect.com/science/article/pii/S2095927324008120




