精确识别植被类型及其分布格局是开展生态系统管理优化的基础。但是,在地形破碎、地表覆被复杂的区域,单一光谱特征无法充分区分结构差异显著的植被类型,面临极大的精度瓶颈,为利用遥感技术进行高精度地表分类带来了挑战。LiDAR技术作为主动遥感手段,可提供三维结构信息,对植被类型识别具有显著优势。然而,目前关于LiDAR在植被分类中具体贡献的研究仍不足,且尚缺乏量化分析其关键指标影响力的研究框架。
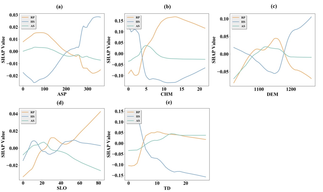
鉴于此,陕西师范大学焦磊副教授和中科院生态环境研究中心高光耀研究员合作,依托陕西黄土高原地球关键带国家野外科学观测研究站延安羊圈沟观测区,采用地面植被调查、无人机遥感航测和可解释机器学习等方法,基于Google Earth Engine平台,提出一套融合无人机高分辨率影像与机载LiDAR点云数据的植被高精度分类方法,并探究机载LiDAR在植被分类中的贡献机制。研究表明,加入LiDAR特征显著提升了分类精度,随机森林(RF)分类总体精度提升至99.36%。同时,利用机器学习可解释算法SHAP破译RF模型中各特征的贡献机制,结果显示冠层高度(CHM)、林分密度(TD)和高程(DEM)为分类效果提升的关键因子。本研究为复杂地形条件下高精度植被分类提供了有效的技术方案,并在理论层面打开了机器学习植被分类问题的“黑箱”,定量揭示了各类特征的贡献机制。
上述研究成果发表于国际农林科学一区Top期刊Computers and Electronics in Agriculture。陕西师范大学地理科学院旅游学院硕士研究生黄滔为论文第一作者,陕师大焦磊副教授与中国科学院生态环境研究中心高光耀研究员为论文通讯作者。本研究得到国家自然科学基金项目(42271098和U2243231)、陕西省自然科学基础研究计划项目(2024JC-YBMS-390)的共同资助。

图1. (a) 羊圈沟小流域的位置;(b)羊圈沟小流域的DEM;(c)机载激光雷达和背负式雷达设备;(d)激光雷达点云和高分辨率影像数据

图2. 使用不同特征组合获得的植被分类结果: (a) 仅限光谱和纹理特征的组合;(b) 光谱、纹理和激光雷达衍生地形特征的组合;(c) 光谱、纹理和LiDAR衍生的地形特征和植被特征的组合

图3. 三种植被类型的所选LiDAR衍生特征的影响阈值:(a) 地形坡向(ASP)的影响阈值;(b) 冠层高度(CHM)的影响阈值;(c) 高程(DEM)的影响阈值;(d)地形坡度(SLO)的影响阈值;(e) 林分密度(TD)的影响阈值
论文链接:
Huang,T.,Jiao,L.,Bai,Y.,Yan,J.,Yang,X.,Liu,J.,Liang,W.,Luo,D.,Zhang,L.,Wang,H.,Li,Z.,Li,Z.,Ji,N.,& Gao,G. (2025). Deciphering the UAV-LiDAR contribution to vegetation classification using interpretable machine learning. Computers and Electronics in Agriculture, 235,110360.
https://doi.org/10.1016/j.compag.2025.110360




